Introduction
Choosing a pharmaceutical injury attorney can feel like navigating a complex maze. The stakes are high when it comes to your health and well-being. Have you ever felt overwhelmed by the choices? This article dives into essential best practices that empower you to make informed decisions while seeking legal representation. With the right guidance, you’ll learn how to evaluate an attorney's experience, understand the legal process, and maintain effective communication throughout your journey. But what happens when the wrong choice leads to missed opportunities for justice and compensation? We’re here to fight for your family.
Select an Experienced Pharmaceutical Injury Attorney
Choosing the right pharmaceutical injury attorney is crucial. You want someone who understands the challenges you face. At Vasquez Law Firm, our attorneys have a proven track record in pharmaceutical litigation, giving you the advantage of their experience. With a remarkable 95% success rate in personal injury cases, we’ve earned the trust of thousands of satisfied clients.
Take a moment to look into our background. Focus on our case outcomes and client testimonials. One client shared, "After my accident, I didn't know what to do. Vasquez Law Firm fought for me, and I received the compensation I deserved." This kind of feedback shows not just our capability but also the confidence we instill in those seeking justice for their suffering.
When you have a pharmaceutical injury attorney who understands how to win against pharmaceutical companies, you’re better positioned to fight for your rights. Navigating the complexities of your claim doesn’t have to be overwhelming. We’re here to guide you every step of the way. Remember, you’re not alone in this fight.
Understand the Pharmaceutical Injury Legal Process
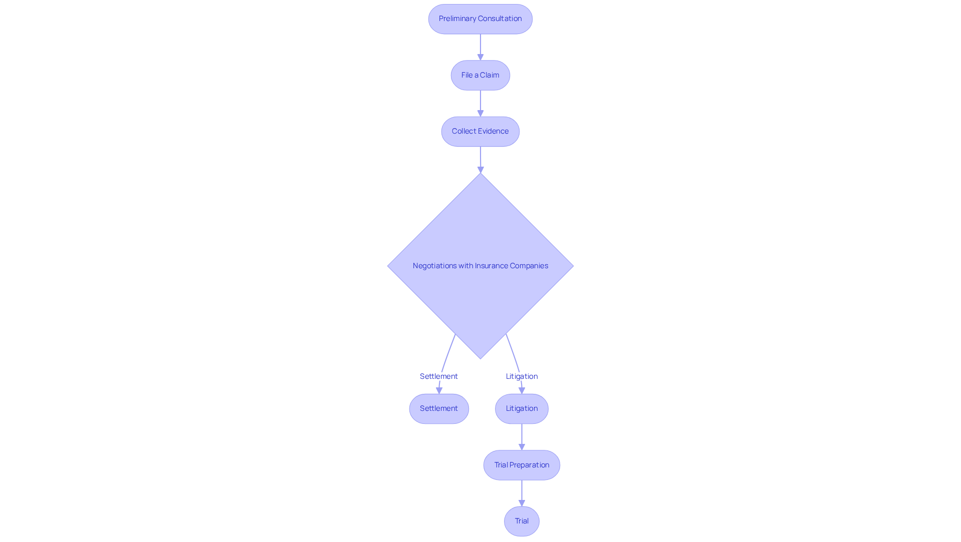
Navigating a pharmaceutical injury attorney claim can feel overwhelming. It all starts with a preliminary consultation, where your pharmaceutical injury attorney evaluates your situation and collects essential information. After that, your pharmaceutical injury attorney will file a claim, which often involves collecting extensive evidence like medical records and expert testimonies.
Are you ready for negotiations with insurance companies? Most cases settle before reaching trial, but if negotiations fall through, litigation could extend the timeline significantly. For example, trial preparation usually kicks off about 16 months after the initial incident, and the trial itself can take several days.
Understanding these steps helps you anticipate timelines and stay engaged throughout the process. Remember, you’re not alone in this fight - we’re here to support you every step of the way. Your future matters to us, and we’ll fight for your family.

Maintain Open Communication with Your Attorney
Effective communication with your pharmaceutical injury attorney is crucial during the claim process. Have you ever felt overwhelmed trying to navigate this complex system? Clients should feel empowered to voice their concerns, share updates on their health, and ask questions about their situation. Regular check-ins not only keep your legal representative informed of any changes that may impact your claim but also foster a sense of partnership.
Establishing a clear communication plan from the start sets expectations for how often and in what format updates will occur - whether through phone calls, emails, or in-person meetings. This proactive approach can significantly enhance the attorney-client relationship with a pharmaceutical injury attorney, leading to better management and outcomes. Research shows that a lack of communication often leads to dissatisfaction, with 60% of surveyed individuals feeling their attorney didn’t adequately clarify the legal process.
By emphasizing open communication, clients can ensure their voices are heard and that their matters receive the attention they deserve. Remember, you’re not alone in this fight - we’re here to support you every step of the way.

Gather and Provide Essential Documentation
Strengthening your pharmaceutical compensation claim can feel overwhelming. But don’t worry; you’re not alone in this fight. It’s crucial to gather thorough documentation to support your case. Start with your medical records that detail your diagnosis and treatment, prescriptions, and any communication with healthcare providers about your medication. Have you experienced side effects? Document those too, along with how they’ve impacted your daily life. This detailed record is essential for linking the medication to your ailments, allowing your lawyer to build a strong argument on your behalf.
Statistics show that well-documented medical histories significantly improve your chances of a positive outcome in legal matters. They provide irrefutable proof of the severity of your condition and the treatment you’ve received. Essential documentation may include:
- Emergency room reports
- Specialist consultations
- Ongoing treatment records
Each piece contributes to a compelling narrative that supports your claim. Remember, we’re here to fight for you and ensure your rights are protected.

Understand Potential Outcomes and Compensation
If you're dealing with the aftermath of a pharmaceutical harm, it's essential to know what compensation options are available to you with the help of a pharmaceutical injury attorney. Compensation can cover a range of damages, from medical expenses to lost wages, pain and suffering, and more. For instance, serious injuries can lead to settlements that vary widely - anywhere from $650,000 to over $1.5 million for high-severity cases, while lower-severity situations might see awards under $150,000.
We understand how overwhelming this can feel. That’s why it’s vital to have open discussions with your pharmaceutical injury attorney at Vasquez Law Firm regarding these types of compensation. They can provide insights based on past experiences and help set realistic expectations. Knowing the ins and outs of compensation can empower you to prepare for negotiations and make informed decisions throughout the legal process. Remember, having a pharmaceutical injury attorney can significantly impact your case outcome, ensuring you receive the compensation you deserve for your damages.
Don’t forget about the critical timelines for your claims: you have 30 days to report your injury and one year to file a formal claim. Seeking medical treatment right away is essential to protect your rights.
We’re here to fight for your family. Your future matters to us. Yo Peleo - We Fight.

Conclusion
Choosing the right pharmaceutical injury attorney is a crucial step that can greatly impact your case's outcome. When you select an experienced legal representative, you gain insight into the complexities of the legal process. Open communication, essential documentation, and an understanding of potential compensation outcomes can help you navigate your claims with confidence and clarity.
This article highlighted five best practices to empower you in your pursuit of justice. From valuing experience and effective communication to the necessity of thorough documentation and awareness of compensation possibilities, each point is vital in building a strong case. By following these guidelines, you can better prepare for the challenges ahead and ensure your rights are vigorously defended.
The journey through a pharmaceutical injury claim can feel overwhelming. But remember, support is available. Engaging with a knowledgeable attorney who prioritizes communication and thorough documentation can make all the difference. Taking proactive steps not only boosts your chances of a favorable outcome but also ensures you receive the compensation you rightfully deserve.
We’re here to fight for your family. Your future matters to us. Yo Peleo - We Fight.
Frequently Asked Questions
Why is it important to choose an experienced pharmaceutical injury attorney?
Choosing an experienced pharmaceutical injury attorney is crucial because they understand the challenges you face and can effectively navigate the complexities of your claim. At Vasquez Law Firm, attorneys have a proven track record in pharmaceutical litigation, which gives clients an advantage.
What is the success rate of Vasquez Law Firm in personal injury cases?
Vasquez Law Firm has a remarkable 95% success rate in personal injury cases, which has helped them earn the trust of thousands of satisfied clients.
How does Vasquez Law Firm support clients during the legal process?
Vasquez Law Firm supports clients by guiding them through every step of the legal process, ensuring they are not alone in their fight for justice.
What is the first step in the pharmaceutical injury legal process?
The first step in the pharmaceutical injury legal process is a preliminary consultation, where your attorney evaluates your situation and collects essential information.
What happens after the preliminary consultation in a pharmaceutical injury claim?
After the preliminary consultation, your pharmaceutical injury attorney will file a claim, which often involves collecting extensive evidence such as medical records and expert testimonies.
How long does it typically take to prepare for a trial in a pharmaceutical injury case?
Trial preparation usually begins about 16 months after the initial incident, and the trial itself can take several days.
Do most pharmaceutical injury cases settle before going to trial?
Yes, most pharmaceutical injury cases settle before reaching trial; however, if negotiations with insurance companies fall through, litigation could extend the timeline significantly.